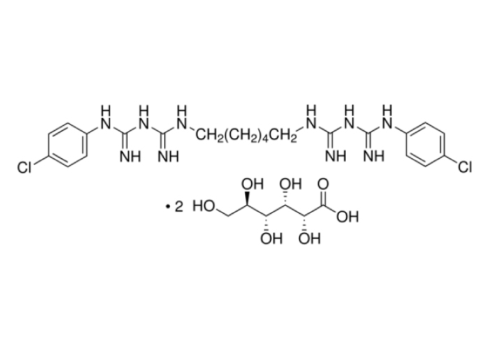
Chlorhexidine Gluconate Solution 20%
Chlorhexidine Gluconate Solution 20%
Cas No : 18472-51-0
Therapeutic Category : Antiseptic
Specifications :
- IP
- BP
- EP
- USP
Regulatory Status :
- WHO-GMP
- WRITTEN CONFIRMATION (WC)
- LOCAL FDA
- HALAL
- ISO 9001:2015
- ISO 14001:2015
- ISO 45001:2018
- ZED GOLD (MSME)
- OPEN & CLOSED PART DMF
Description : Colourless or Pale yellowish Liquid
Packing :
- 25 Kgs HDPE drum
- 50 Kgs HDPE drum
- 220 Kgs HDPE drum
- 1060 Kgs Black/White IBC Tanks
General Information
Chlorhexidine Gluconate Solution 20% is produce in a dedicated plant with annual capacity of 3200 MT for Export & Domestic sale.
Chlorhexidine Gluconate 20% Solution is an salt of chlorhexidine which is broad spectrum bacteriostatis antiseptic agent, oral care agent, disinfectant, cosmetic biocide, and preservative.
Chlorhexidine Gluconate 20% is very effective against plaque, oral flora including Candida and is active against gram-positive and gram- negative organisms, facultative anaerobes, aerobes, and yeast. It can be used in antiseptic soap, mouthwash that fights plaque, disinfecting wounds and burns, vaginal flushing, hair dyes and bleaches, makeup, and other skin and hair care products.
Chlorhexidine Gluconate is mainly available in OTC products to clean and prepare the skin before surgery and before injections in order to help reduce bacteria that potentially can cause skin infections. These products are available as solutions, washes, sponges, and swabs and under many different brand names.
A Wide Range of Applications
Pharma
Chlorhexidine is widely used as an active ingredient and excipient in both OTC and prescription drugs. Applications include oral care, wound care, sore throat, bladder irrigation, anti-inflammatory, eye drops, antacid suspensions, antifungals.
Veterinary
Chlorhexidine is normally used as an antiseptic and preservative in animal health products developed for the treatment of mastitis in cows and in pet products such as shampoo, foam and wipes.
Industrial
Chlorhexidine is also used for general disinfection of equipment, surfaces and textiles, surface wipes, floor cleaners, detergents and disinfectant spray.
Oral Care
Chlorhexidine is commonly used in plaque control and gingivitis, healing before and after periodontal surgery, treatment of mouth ulcers, aphthous stomatitis and oral infections. Chlorhexidine is present in mouthwashes, toothpastes and sprays.
Cosmetics
Chlorhexidine is formulated as a preservative in cosmetic formulations such as skincare creams, hair conditioners and treatments, soap, deodorants, hygiene products, antiseptic treatments and insect repellent.
Biocide
A number of biocide products for skin disinfection are formulated with Chlorhexidine, including solutions with and without alcohol, scrubs, wet wipes, soaps, creams and hand rubs.
Microbial Purity
Our Chlorhexidine gluconate Solution 20% is microbial free.
Microbials are extremely resistant to even the harshest and most unliveable conditions.
The so called extremophiles (extremophilic microbials) live in habitats which for other terrestrial life-forms are intolerably hostile or even lethal. Some live in extreme hot niches, ice, and salt solutions, as well as in acid and alkaline conditions. Some may grow in toxic waste, organic solvents, heavy metals, or in several other habitats that were previously considered inhospitable for life.
So it is not surprisingly, that even in a medium that is used as a disinfectant, microbials can life and grow.
Alex Pharmachem Private Limited is aware of those specific microbials. Contamination is prevented by:

Own in house production in dedicated plants under controlled atmosphere

Strictly use of purified water only

Release of customer required batches only after a validated microbial tests.
